Line Flow And Line Losses Calculation
The line current Iij as shown in
the previous figure ,measured at bus i and defined positive in the direction i to j
, is obtained from:
The line power flow Sij and Sji measured at bus i and j respectively and both defined positive into the line are now obtained:
Formation Of The Power Flow Equations
The steps for formation the power flow equations for n
buses with ng generators system can be summarized as follow:
select one of the system buses ( the largest one) as slack bus ,let the
slack bus is bus number (1) soδ1=0 as reference and IV1I =1p.u
Determine the type of the buses.
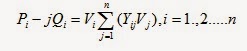
Write the active power equation for all buses except
the slack bus as:
and write the equation of reactive
power at all p-Q busses as:
The previous equiv is applied only for P-Q buses.
Solve the equations of the previous step to find the state variables
which are the bus angles at all buses except the slack bus and the voltage
magnitude at the P-Q buses only
for P-V buses or the voltage magnitude at all
buses except the slack bus for the P-Q system.
Rectangular Form Of load flow equation
The nodal admittance matrix current in the power form
of n buses is:







0 comments:
Post a Comment